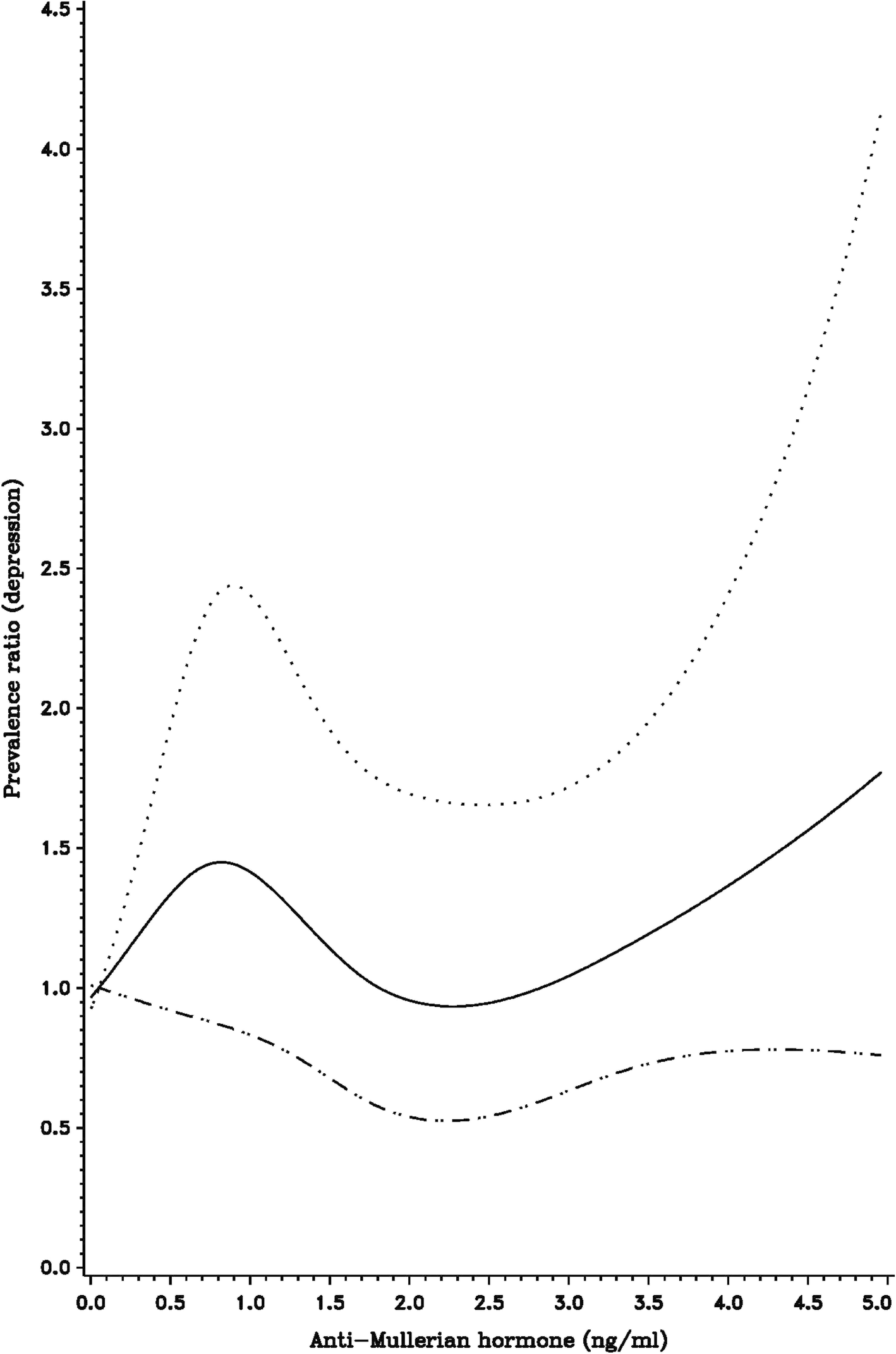
Fig. 3

Restricted cubic spline displaying the association between depression history and AMH levels among women aged 40–44 years at enrollment, with knot points at AMH levels of 0.100, 0.750, 1.750, 3.250. Adjusted for cycle irregularity, BMI, pack-years of smoking, age at menarche, and history of OC use